
飞而康科技的3D成型技术
飞而康科技可代客加工,也可根据客户要求由专业设计团队进行设计后进行生产。飞而康独树一帜的优势在于公司研发团队对材料及其成型过程有很深的研究,从而确保所有的3D打印机能够满足顾客对机械性能,表面粗糙度以及尺寸精度的特殊要求。公司的众多主要客户为航空和生物医疗企业,对于这些客户而言,机械性能及其稳定性和一致性是至关重要的。
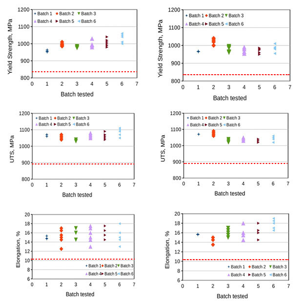
3D打印零件及材料的力学性能
飞而康科技生产的Ti、Ni、Al和钢的3D打印部件都具有优异的力学性能和高度一致性。下图举例说明3D打印Ti6Al4V拉伸性能的高度一致性。
图示说明了我司3D打印的Ti64在经过适当的后处理过程后得到优异的力学性能和高度一致性。使用粉末由飞而康科技自行生产(氧含量1600ppm)。虚线表示锻造Ti6Al4V的国际航空标准。

后处理以及抛光
后处理
各种材料都可通过各种不同的热处理工艺来得到更加优异的性能。
表面抛光
各种抛光工艺可作用于Ti、Ni、Al、不锈钢和工具钢。这些工艺能够满足顾客对工件外部和内部的粗糙度要求。




